民权县乡村振兴智慧监督大数据平台
微信平台
/
操作指南
平台首页
小微权力监督
民生资金查询
项目监督
村级资金监督
村级资产监督
村级资源监督
信息公开
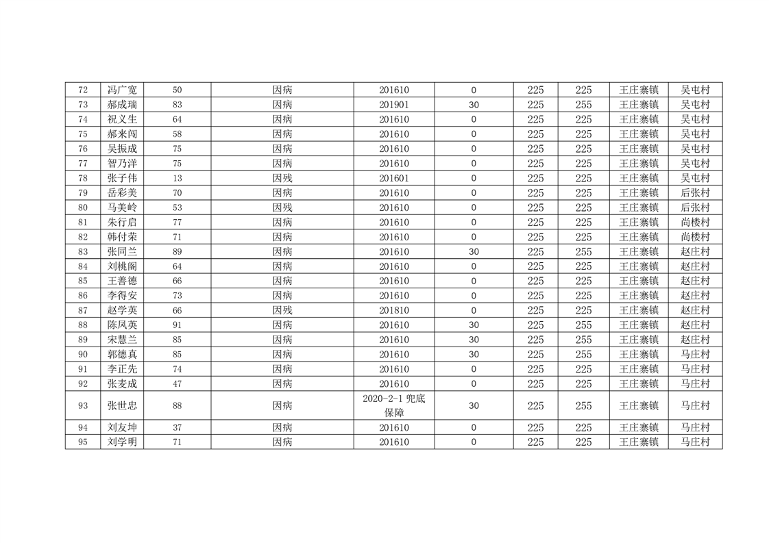
王庄寨镇2024年7月份农村低保名单
来源:王庄寨镇
作者:王庄寨镇
日期:2025-01-06
任何盗版、仿冒和抄袭本系统的单位或个人,本公司保留追究其法律责任的权利。